广东高考成绩已经公布!
今天10点,
广东教育考试院举行
2019年广东高考招生新闻发布会。
2019年广东省高校招生情况
每批的最低控制分数如下
一、本科院校
文科:总分546。
理科:总分:495。
文科:总分516。
理科:总分465。
文科:总分170。
理科:总分:160。
体育:文化总分190,体育总分185。
美术:文化总分170,美术150。
音乐:文化总分180,音乐总分150。
舞蹈:文化总分160,舞蹈总分150。
广播电视编导类:文化系总分300,广播电视编导190。
艺校考试:文化总分160。
三、军事本科院校
文科:总分546。
理科:总分:495。
文科:总分478。
理科:总分:410。
其中,华南师范大学、广州大学:文科总分526分;理科总分475。
体育:文化总分300,体育总分190。
美术:文化总分280,美术205。
音乐:文化总分255,音乐总分190。
六、面向订单培养的农村卫生人员
文科:总分415。
理科:总分350。
文科:总分375。
理科:总分:310。
一个
官方微程序下载方法
6月29日上午8点开始,考生可以通过省教育考试院的微型程序自行下载打印成绩证书。具体操作如下:点击“广东教育考试院”小程序中的“证书打印”,选择考生对应的证书类别,填写考生信息并登录,然后下载成绩证书,自行打印。
2
6月29日上午8点开始,考生可以通过“广东省”小程序自行下载并打印成绩证书。具体操作如下:在“广东省”小程序中选择“教育服务”,点击“成绩证书下载”,填写考生信息,获取成绩证书下载链接,自行打印。
对成绩有疑问怎么办
申请复审
已取得高考成绩的考生,如对某科成绩有疑问,可于6月25日上午12时前持准考证到所在中学或当地县招办提出书面成绩复查申请,并按复查科目填写《普通高考各科成绩考生申请复查登记表》。
复习的内容是评分统计综合是否有误,答题卡是否漏看,答题卡扫描是否准确,不涉及掌握评分标准的宽严问题。
市县招生办需要组织专门人员负责考生报考结果的复审,并按照网上报名的要求及时录入考生考试成绩的报考数据。省教育考试院将于6月26-27日组织专人进行复审。
对于复试后发现成绩不正确的考生,广东省教育考试院将对其成绩进行更正,并将更正后的成绩直接发给我,市县招生办将自行通知考生。
复试后,将分数正确的考生名单电子文档反馈给各城市招生办公室,各城市通知考生。考生可通过互联网查询,报考考点的考生可于6月29日8:00登录广东省教育考试服务网“综合查询”板块,查询复试结果。
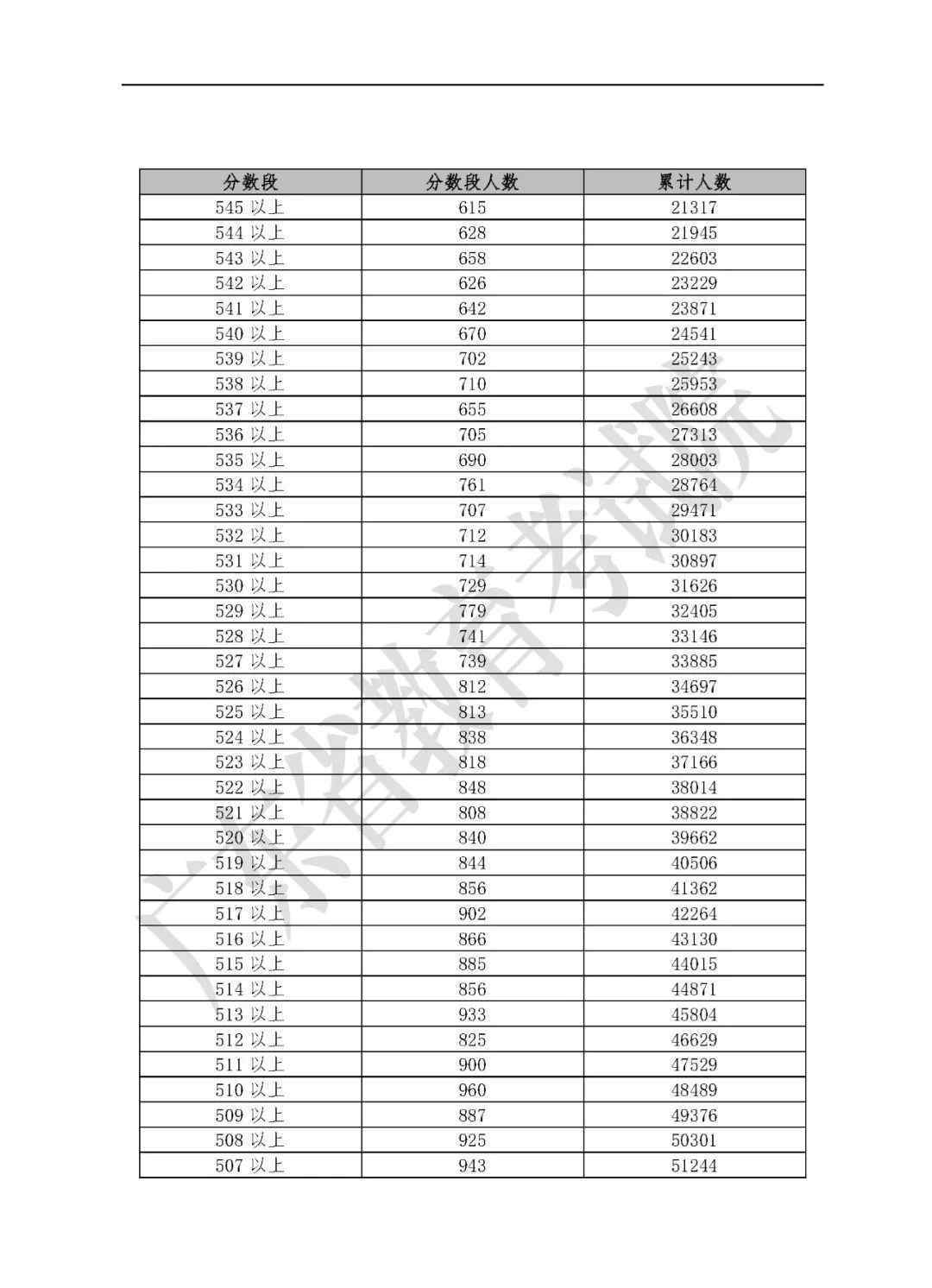
2019年,广东省高校考生填报志愿时间为6月25日至7月2日。为了方便考生填报志愿,保证志愿工作的顺利进行,省教育考试院公布了今年高考各科考生的成绩。
从表中可以看出,655分以上的有22人,647分以上的有46人,600分以上的有2150人,优先归档线以上的有20702人。691分及以上22人,684分及以上50人,677分及以上108人,优先班线以上77056人。

































































































来自广东教育考试院、广东出版社等
如有侵权,请联系
1.《广东高考排名 2019广东高考分数线出炉!广东高考各分数段排名公布啦!》援引自互联网,旨在传递更多网络信息知识,仅代表作者本人观点,与本网站无关,侵删请联系页脚下方联系方式。
2.《广东高考排名 2019广东高考分数线出炉!广东高考各分数段排名公布啦!》仅供读者参考,本网站未对该内容进行证实,对其原创性、真实性、完整性、及时性不作任何保证。
3.文章转载时请保留本站内容来源地址,https://www.lu-xu.com/fangchan/1753742.html