昨天回答
通常,二极管电流计算如下:
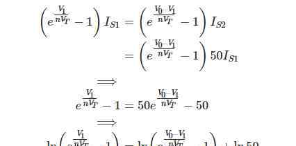
我们知道两个二极管串联,所以ID1=ID2,所以我们可以得到肖克利方程:
通常,两个二极管必须处于相同的温度,因此VT1=VT2=VT,n1=n2=n..VD1+VD2=V0=-3V .简化并获得:
进一步简化:

其中Vt的热电压可达26mv左右,带入后即可计算。
问题综述:电路精选问题1009——反向偏置二极管的电压
今天的问题
我想画一下A和b之间的戴维宁等效电路,我有一些想法但是不确定是否正确,所以请教大家。如图:

我的想法是用叠加定理分析V1和V2为0时,然后简化戴维南等效电路,计算出等效电压和电阻。
如果我想在R6两端找到戴维宁等效电路,入口点是否相同?
:

达文南定理:具有独立电源的线性电阻一端口网络N,就端口特性而言,可以等效为电压源和电阻串联的一端口网络。电压源的电压等于电压uoc当负载打开时的单端口网络的状态;电阻R0是一端口网络中所有独立电源为零时得到的一端口网络N0的等效电阻。
欢迎来原帖讨论。如果在日常电路选题或优秀答案中被采纳,将获得论坛奖励30分!
点击“阅读原文”查看问题
1.《戴维南等效电路 【每日问答】电路问题精选1010——戴维南等效电路》援引自互联网,旨在传递更多网络信息知识,仅代表作者本人观点,与本网站无关,侵删请联系页脚下方联系方式。
2.《戴维南等效电路 【每日问答】电路问题精选1010——戴维南等效电路》仅供读者参考,本网站未对该内容进行证实,对其原创性、真实性、完整性、及时性不作任何保证。
3.文章转载时请保留本站内容来源地址,https://www.lu-xu.com/tiyu/1667893.html