点击“新晚报”关注我们

24日,黑龙江省2020年高考一分段统计表正式公布。据统计

今年黑龙江省18.3万人参加高考,比去年增加5000人左右。

理工类一本线以上人数同比增加1970人 。

文史类一本线以上人数同比增加600余人。

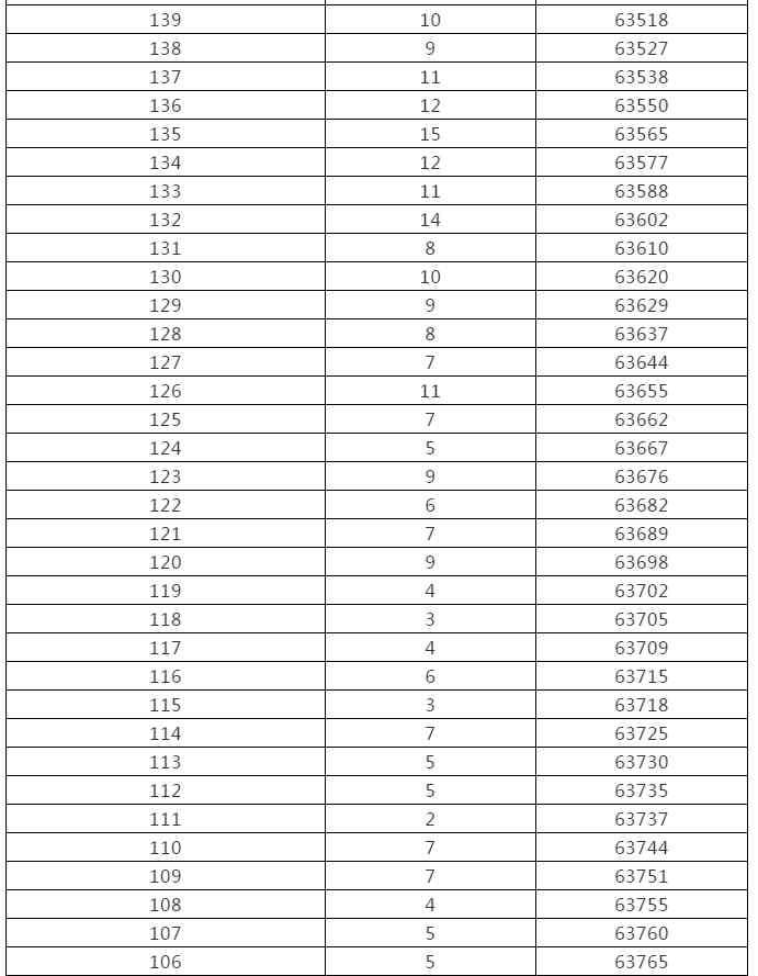
理·工·类

600分以上考生增加46人

记者查看统计表发现,我省理工类最高分为724分。710以上考生12人;700分以上考生53人;600分以上(含600分)的高分考生6005人,比去年增加46人;455分考生39172人,比去年本科一批最低录取控制分数线以上人数增加1970人。

301分以上(含301分,即本科二批最低录取控制分数线)考生90617人,比去年本科二批最低录取控制分数线以上人数增加18368人。

在600分以上区间内,610分段的考生最多,为140人。在455分至600分区间内,考生人数每分段最多的人数为324人(479分),最少的人数为113人(599分)。

文·史·类

过二本线人数增9000余人

我省文史类最高分为677分。656分以上10人;600分以上550人,比去年增加99人。

483分以上(含483分,即全省文科本科一批最低录取控制分数线)8311人,比去年本科一批最低录取控制分数线增加600余人 ;365分以上考生28497人,比去年本科二批最低录取控制分数线增加9000 余人。

在600分以上区间内,608分段的考生最多,为28人。600分至483分区间内,考生人数每分段最多的人为133人,最少的人数为19人(587分、585分)。

理科一分段

文科一分段

记者 周雪莉

未经授权 禁止转载

责任编辑:李楠

审核:张雷

1.《黑龙江高考成绩 来了!黑龙江高考成绩一分段统计表出炉》援引自互联网,旨在传递更多网络信息知识,仅代表作者本人观点,与本网站无关,侵删请联系页脚下方联系方式。

2.《黑龙江高考成绩 来了!黑龙江高考成绩一分段统计表出炉》仅供读者参考,本网站未对该内容进行证实,对其原创性、真实性、完整性、及时性不作任何保证。

3.文章转载时请保留本站内容来源地址,https://www.lu-xu.com/jiaoyu/60791.html