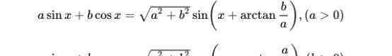
辅助角公式是一种高等三角函数公式,使用代数式表达为asinx+bcosx=√(a²+b²)sin[x+arctan(b/a)](a>0)。


该公式的主要作用是将多个三角函数的和化成单个函数,以此来求解有关最值问题。
辅助角公式的性质
辅助角公式例题详解π/6≤a≤π/4 ,求sin²a+2sinacosa+3cos²a的最小值
解:令f(a)=sin²a+2sinacosa+3cos²a
=1+sin2a+2cos²a
=1+sin2a+(1+cos2a)(降幂公式)
=2+(sin2a+cos2a)
=2+(√2)sin(2a+π/4)(辅助角公式)
因为7π/12≤2a+π/4≤3π/4
所以f(a)min=f(3π/4)=2+(√2)sin(3π/4)=3
1.《辅助角公式 辅助角公式是什么》援引自互联网,旨在传递更多网络信息知识,仅代表作者本人观点,与本网站无关,侵删请联系页脚下方联系方式。
2.《辅助角公式 辅助角公式是什么》仅供读者参考,本网站未对该内容进行证实,对其原创性、真实性、完整性、及时性不作任何保证。
3.文章转载时请保留本站内容来源地址,https://www.lu-xu.com/jiaoyu/547496.html
