题目:
标准正态分布函数的标准差为什么是1最好有细一点的推导过程我知道概率密度为 p(x) 的连续随机变量 x 的标准差的定义不过不会推导=.=
中间数无限接近于1?
标准正态分布概率密度函数在X=0的时候值应该在是0.4左右
我不知道wukai你学的是哪本概率论
我的书上定义标准正态分布时是同时给出性质的,并没有给出证明
或者跟我说下去哪看也一样啊~~
也有的书是这么写的
若随机变量X服从一个数学期望为μ、标准方差为σ2的高斯分布
则其概率密度函数为:……(正态分布函数公式~懒得打了)

解答:
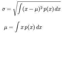
其实你已经快成功了
1.《正态分布函数 标准正态分布函数的标准差为什么是1》援引自互联网,旨在传递更多网络信息知识,仅代表作者本人观点,与本网站无关,侵删请联系页脚下方联系方式。
2.《正态分布函数 标准正态分布函数的标准差为什么是1》仅供读者参考,本网站未对该内容进行证实,对其原创性、真实性、完整性、及时性不作任何保证。
3.文章转载时请保留本站内容来源地址,https://www.lu-xu.com/jiaoyu/427974.html




