我们通常用三角形的底边长乘以高,再除以2,来计算三角形的面积。但是实际上,还有很多方法可以算三角形面积。
三角形分类判定法一:
1、锐角三角形:三角形的三个内角都小于90度。
2、直角三角形:三角形的三个内角中一个角等于90度,可记作Rt△。
3、钝角三角形:三角形的三个内角中有一个角大于90度。
判定法二:
1、锐角三角形:三角形的三个内角中最大角小于90度。
2、直角三角形:三角形的三个内角中最大角等于90度。
3、钝角三角形:三角形的三个内角中最大角大于90度,小于180度。
其中锐角三角形和钝角三角形统称为斜三角形。
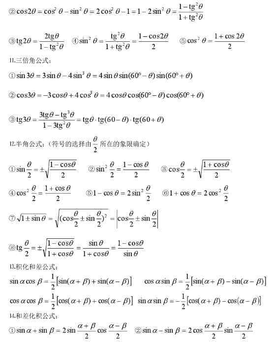
三角形公式大全



1.《求三角形面积的方法 三角形面积怎么算》援引自互联网,旨在传递更多网络信息知识,仅代表作者本人观点,与本网站无关,侵删请联系页脚下方联系方式。
2.《求三角形面积的方法 三角形面积怎么算》仅供读者参考,本网站未对该内容进行证实,对其原创性、真实性、完整性、及时性不作任何保证。
3.文章转载时请保留本站内容来源地址,https://www.lu-xu.com/jiaoyu/411744.html