一、名词的定义
概念:代换法是数学中一种非常重要且应用广泛的解题方法。我们通常把未知数或变量称为元素。所谓代换法,就是在一个比较复杂的数学公式中,用一个新的自变量代替原公式的一部分,或者对原公式进行变换,使之简化,使问题易于求解。
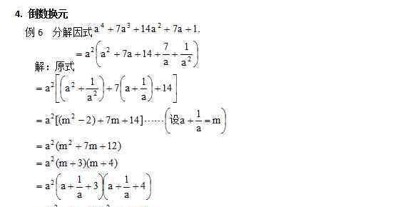
经验:代入法可以应用于因式分解,解方程或方程组。代换法是解决数学问题的重要方法。对于一些复杂难懂的数学问题,如果能根据问题的特点巧妙的改变元素,可以事半功倍。现在举个例子来说明。
详细说明:替代法主要有几种形式:双重交换、整体交换、平均交换和互惠交换。下面结合例子逐一说明。
二.典型例子




1.《换元法 初中考点:换元法专题(重点)》援引自互联网,旨在传递更多网络信息知识,仅代表作者本人观点,与本网站无关,侵删请联系页脚下方联系方式。
2.《换元法 初中考点:换元法专题(重点)》仅供读者参考,本网站未对该内容进行证实,对其原创性、真实性、完整性、及时性不作任何保证。
3.文章转载时请保留本站内容来源地址,https://www.lu-xu.com/jiaoyu/1775189.html