感谢您关注北京高中生公众号!
如您尚未关注,请点击上方“北京高中生”关注我们!
1 、函数的单调性

2 、函数的奇偶性
3、 函数在某处的导数的几何意义
4、几种常见函数的导数

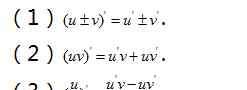
5、导数的运算法则

6、求函数的极值

7、分数指数幂

8、根式的性质

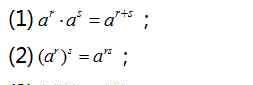
9、有理数指数幂的运算性质

10、对数公式

11、常见的函数图像

12、同角三角函数的基本关系式
13、正弦、余弦的诱导公式

14、和角与差角公式

15、二倍角公式

16、三角函数的周期
17、正弦定理
18、余弦定理

19、面积定理
20、三角形内角和定理

21、a与b的数量积
22、平面向量的坐标运算

23、两向量的夹角公式

24、平面两点间距离公式
25、向量的平行与垂直

26、数列通项公式与前n项和的关系

27、等差数列通项公事与前n项和公式
28、等差数列的性质

29、等比数列的通项公式与前n项和公式

30、等比数列的性质

31、常用不等式
32、直线的三角方程
33、两条直线的垂直和平行

34、点到直线的距离
35、圆的两种方程
36、点与圆的位置关系

37、直线与圆的位置关系

38、椭圆、双曲线、抛物线的性质

39、双曲线方程与渐近线方程的关系
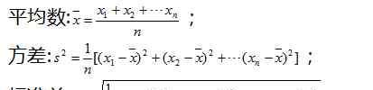
40、抛物线的焦半径公式
41、平方差标准差的计算

42、回归直线方程

43、独立性检验

44、复数

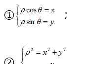
45、参数方程、极坐标化为直角坐标

“北京高中生”公众号,是由三好网发起并运营的北京高考资讯专业平台,解析高考资讯政策,助力学子金榜提名!

1.《高一数学公式 数学老师精心整理45条高中数学公式及知识点,高一到高三都能用!》援引自互联网,旨在传递更多网络信息知识,仅代表作者本人观点,与本网站无关,侵删请联系页脚下方联系方式。
2.《高一数学公式 数学老师精心整理45条高中数学公式及知识点,高一到高三都能用!》仅供读者参考,本网站未对该内容进行证实,对其原创性、真实性、完整性、及时性不作任何保证。
3.文章转载时请保留本站内容来源地址,https://www.lu-xu.com/jiaoyu/175929.html