一、极限公式

(系数不为0的情况)
二、重要公式

三、下列常用等价无穷小关系(x->0)

四、导数的四则运算法则

五、基本导数公式

六、高阶导数的运算法则

七、基本初等函数的n阶导数公式

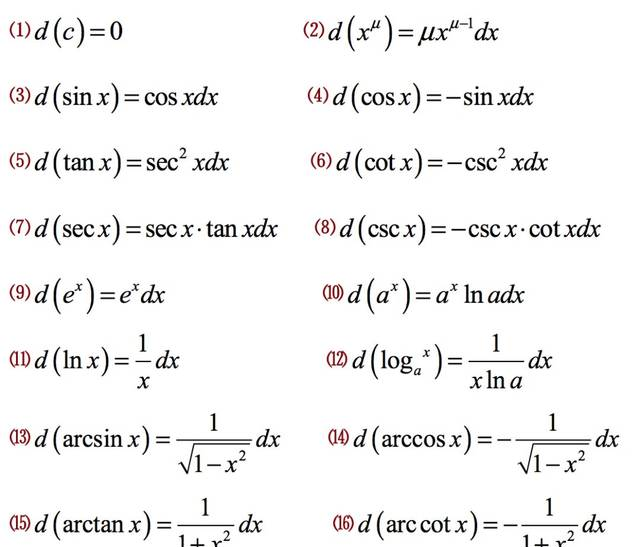
八、微分公式与微分运算法则

九、微分运算法则

十、基本积分公式

十一、下列常用凑微分公式


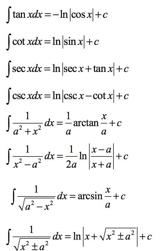
十二、补充下面几个积分公式

十三、分部积分法公式

十四、第二换元积分法中的三角换元公式


十五、三角函数公式









十六、几种常见的微分方程

(免责声明:“数学建模”旨在传播数学精神,方便大家互相交流建模知识,尊重原创并对原创者的文章表示肯定和感谢,相关文章均来自网络搜索,某些文章无法找到详细作者以明确出处请见谅。原作版权归原作者所有,如有侵权,请及时联系处理,我们将立即更正和删除相关内容。本公众号拥有对此声明的最终解释权。)
1.《微分和积分数学公式大全》援引自互联网,旨在传递更多网络信息知识,仅代表作者本人观点,与本网站无关,侵删请联系页脚下方联系方式。
2.《微分和积分数学公式大全》仅供读者参考,本网站未对该内容进行证实,对其原创性、真实性、完整性、及时性不作任何保证。
3.文章转载时请保留本站内容来源地址,https://www.lu-xu.com/guonei/16839.html