2020年上海市普通高等学校秋季招生本科各批次录取控制分数线公布。①本科录取控制分数线:400分。②特殊类型招生控制分数线:502分。③艺术类本科文化控制分数线:260分。④体育类本科文化控制分数线:280分。

上海高考分数线及一分一段表
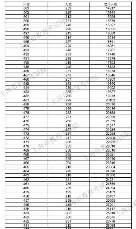
2020上海考生高考成绩分布表新鲜出炉:







1.《上海高考成绩 上海高考一分一段表下载查看 2020上海高考成绩排名位次查询》援引自互联网,旨在传递更多网络信息知识,仅代表作者本人观点,与本网站无关,侵删请联系页脚下方联系方式。
2.《上海高考成绩 上海高考一分一段表下载查看 2020上海高考成绩排名位次查询》仅供读者参考,本网站未对该内容进行证实,对其原创性、真实性、完整性、及时性不作任何保证。
3.文章转载时请保留本站内容来源地址,https://www.lu-xu.com/guonei/120880.html