我熬过了七月漫长的梅雨
即将迎来炎热的八月
八月的到来
意味着暑假已经过去了1/2
这意味着今年将完成2/3
没有一点防备
八月

八月来了,你的头盔准备好了吗
《苏州市人民政府关于驾驶电动自行车佩戴安全帽的通知》将于明日实施。准备好了吗?

根据通知,从8月1日起,未按规定佩戴安全帽的,由公安机关交通管理部门给予警告或者处以20元以上50元以下罚款。
太仓的电动自行车司机为了自己的安全和照顾家人都要“整理”头盔!
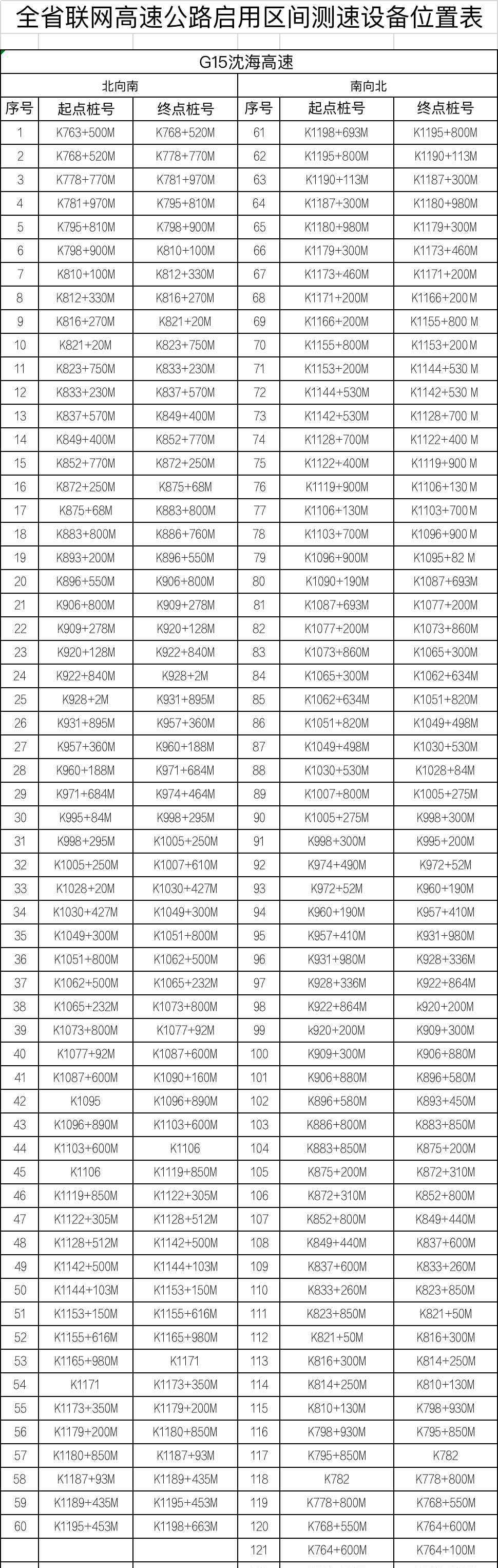
区间测速设备应用于全省公路网
江苏省连接全省的整个公路网
设置778套区间测速设备
从2020年8月1日起,
机动车辆将由区间测速设备进行测量
违反交通安全会受到严厉处罚

司机体检暂停一天

1元参观苏州园林
今年8月1日至12月31日,
苏州园林旅游网,携程,桐城
美团和苏州旅游总入口五大网络平台
“1元游园”在线售票区将同时开放
共推出50万张1元的门票

1元门票的使用范围包括
虎丘、柳园、拙政园、狮子林、耦合园
网园、沧浪亭、科苑、天平山
植物园、动物园、环秀山庄
苏州的14个著名园林景点,如怡园和溥仪

与此同时,它面临着100家国内旅行社
赠送30万张园林景点门票
旅行社组织旅游团参观了上述14个园林景点
你可以享受商店标价的1%折扣
每10人一人可享受1元票价优惠

夜间加油优惠政策
从现在到九月底
江苏将实施夜间加油优惠措施
苏州30家加油站推出夜间加油促销活动
车主在相关加油站
从晚上8点到第二天下午6点加油会享受一系列优惠

“全民健身日”,太仓市8个场馆免费开放
8月8日
全民健身日快到了
我市八大场馆
全天免费向公众开放

游泳、乒乓球、健身
......
总有一项运动适合你
看看这些场馆在哪里

太仓多条公交线路的调整
从2020年8月1日起,
121路,122路,312路公交车,
308、319路公交线路调整。

全国高等教育自学考试举行
原定于2020年4月11-12日举行的全国高等教育自学考试延期至8月举行。
全国统一命题课程考试时间为8月1日至8月2日,省级命题课程考试安排由各省自主确定,相关考试科目安排由各省确定后向社会公布。

来源:教育部官方网站
苏州证券从业资格考试举行
苏州2020年8月证券从业资格考试时间:8月8-9日
今年证券从业资格考试考试科目:考试安排为“一般从业资格考试”和“特殊业务资格考试”。

大量游戏应用已经下架
苹果规定,国家新闻出版广电总局发布的版本号必须录入中国大陆的游戏App,否则将从8月1日起下架。

来源:网络
目前苹果App Store上有20多万款游戏,但历年来只有2万多款有版本号的游戏获批。也就是说,当时可能会有大量的游戏应用下架。苹果最近给开发者发了相关的说明邮件。
江苏省重大行政决策程序实施办法
《江苏省重大行政决策程序实施办法》已经2020年5月18日省人民政府第55次常务会议讨论通过,现予公布,自2020年8月1日起施行。

来源:江苏人民政府网
《办法》对重大行政决策全过程进行规范和指导,规定决策机关违反规定,造成重大决策失误,造成重大损失和不良影响的,应当追究责任,追究终身责任。
全国统一换发伤残军人证等四种证件
日前,退伍军人事务部发出通知,从2020年8月1日起,开始换发《残疾军人证》、《残疾人警察证》、《残疾预备役人员民兵民工证》、《残疾人经商证》等4种证件。新证书的续签期限为一年,截止日期为2021年7月31日。从2021年8月1日起,旧证作废。在续期期间,新旧证书均有效。
通知中明确规定,残疾人应当向县级人民政府退伍军人事务部门申请换发旧证和个人照片。为了不影响残疾人按规定享受交通、旅游等优惠待遇,本次换证是以新证代替旧证进行的。

来源:退役军人事务部官网
大学毕业生有机会直接当士官
来自2020年的大学毕业生,
直接招募士官的工作正在全面展开
招聘对象为普通高校全日制毕业生

来源:全国招聘网官网
支付和结算报告新规定的实施
近日,中国支付清算协会修订了《举报支付结算违法行为奖励办法实施细则》和《举报支付结算违法行为奖励资金管理办法》,将于2020年8月1日起施行。

来源:网络
根据本细则,任何单位和个人均可向中国支付清算协会举报银行业金融机构、非银行支付机构、清算机构、收购外包服务机构等在支付结算领域的违法行为。举报要实名做。举报奖励遵循对举报事项进行客观公正的调查,快速高效地处理举报事项,并为举报人保密。
医疗联合体管理办法(试行)
《医疗联合体管理办法(试行)》,2020年8月1日起施行。《办法》指出,要加快医疗协会建设,规范医疗协会建设和管理,完善医疗协会运行管理机制,帮助建立分级诊疗体系,促进医疗卫生机构发展方式从以治病为主向以健康为主转变。

来源:网络
《民用建筑工程室内环境污染控制标准》颁布
《民用建筑工程室内环境污染控制GB 50325-2020标准》(以下简称标准)于2020年1月16日经中华人民共和国住房和城乡建设部批准发布,自2020年8月1日起实施。原GB 50325-2010《民用建筑工程室内环境污染控制标准》同时废止。

来源:中华人民共和国住房和城乡建设部官方网站
这次发布的新版标准增加了甲苯和二甲苯对室内空空气的污染。细化装修材料分类,调整部分材料污染物含量(释放量)限值及测定方法。对自然通风的一类民用建筑最低通风频率提出了具体要求。并对幼儿园、学校教室和学生宿舍的装修提出了更严格的污染控制要求。
医疗机构、医生和护士的电子执照将开始生成
近日,国家卫健委、国家中医药管理局联合发布《关于推进医疗机构、医生、护士电子许可证的通知》,决定在全国范围内正式实施医疗机构、医生、护士电子许可证。电子许可证的生成将于2020年8月1日正式开始。

来源:官方网站,医疗和医院管理局
符合代发条件的,在2020年12月31日前办理电子许可证。如果需要对生成的信息进行补充和完善,医疗机构、医生和护士可以按照权限通过机构和个人进行信息维护,满足生成条件后发放电子许可证。
《规范债权资产认定规则》开始实施
7月3日,作为新资产管理规定的重要配套细则,央行、银监会、证监会、外汇局联合发布了《债权资产规范确认规则》(以下简称《确认规则》),将于2020年8月3日起施行。

来源:网络
《认定规则》不仅认定了标准债务资产,还明确指出了同时满足五个条件。更重要的是,它对新资产管理规定发布后,一些市场差异较大的债务资产应被视为“非标准”还是“标准”给出了明确的定义。
中国银行业监督管理委员会行政处罚实施办法
中国银行业监督管理委员会近日发布《中国银行业监督管理委员会行政处罚办法》,自2020年8月1日起施行。《办法》着眼于规范行政处罚程序,提高行政处罚效率,提高执法公信力,全面规范银行业和保险业行政处罚程序。

来源:网络
《办法》规定,在作出处罚决定前,应当事先告知当事人拟作出行政处罚决定的事实、理由和依据,当事人有权进行陈述和申辩。符合听证条件的,当事人可以依法申请听证,不应因当事人的申辩而加重处罚。明确当事人对行政处罚决定不服的,有权提起行政复议或者行政诉讼。
中国情人节快到了!
8月25日是情人节!情侣可以开始准备礼物了。列出礼物!你要不要给你的单身伴侣定个小目标,比如,中国情人节把你的订单处理掉!

来源:网络
疫情防控新举措
根据国家统一部署和长江三角洲涉外疫情
联合防控联动机制的工作要求
从8月2日0点开始,
江苏省对从上海机场进入江苏的人员实施了限制
实施转移隔离的健康观察

来源:网络
八月的这些重要事件
你什么都记得吗?
让我们期待
炎热的八月~
非太仓论坛作品,作品版权归原出版媒体和文章作者所有。如有侵权,请联系我们删除。以传递更多信息为目的在此微信官方账号平台转载文章,并不代表同意其观点或确认其内容的真实性,也不构成任何建议。
1.《太仓自考 定了!8月起,这些新消息将影响太仓人!涉及医疗服务、交通出行、证件换新……》援引自互联网,旨在传递更多网络信息知识,仅代表作者本人观点,与本网站无关,侵删请联系页脚下方联系方式。
2.《太仓自考 定了!8月起,这些新消息将影响太仓人!涉及医疗服务、交通出行、证件换新……》仅供读者参考,本网站未对该内容进行证实,对其原创性、真实性、完整性、及时性不作任何保证。
3.文章转载时请保留本站内容来源地址,https://www.lu-xu.com/guonei/1124932.html






