2019年,全国普通高等学校招生统一考试
化学试题分析[国家一级]
普新教育高中化学教研室:封景义
1.选择题:本题共7道小题,每道小题6分。总分42分
7.陶瓷是火与土的结晶,是中华文明的标志之一。它们的形成和性质与化学密切相关。以下说法是错误的()
A.《雨后云开》中描述的瓷器青色,来自氧化铁
B.举世闻名的秦兵马俑是由高温烧结的粘土制成的陶器制品
C.陶瓷是较早使用的人造材料,主要化学成分是硅酸盐
D.陶瓷具有稳定的化学性能,具有耐酸碱腐蚀和抗氧化的优点
【回答】A
[试验场地]无机化合物的主要性能和应用
【分析】氧化铁为红褐色,青瓷色调的形成主要是还原火焰气氛下烧制的釉中有一定量的氧化铁造成的,本质上是烧制的青釉中的Fe(II)造成的。a是错的;b、C、D三个选项
A.混合溶液的电导率与离子浓度和种类有关
B.钠离子和A2的电导率之和大于透明质酸的电导率
C.b点混合溶液的酸碱度= 7 = 7
D.在c点的混合溶液中,c (na+) >: c(K+)>;碳(羟基)
【答案】C
【测试地点】酸碱中和滴定、溶液电导率、离子浓度对比
【解析】溶液的电导率与离子浓度和种类有关,a是正确的;加入氢氧化钠溶液后,透明质酸-+羟基- = A2-+H2O反应。观察图像后,加入氢氧化钠后,混合溶液的电导率不断增加。所以,如果Na+和A2的电导率之和大于HA,B是正确的;在b点,邻苯二甲酸氢钾刚好转化为邻苯二甲酸钾钠,邻苯二甲酸根离子水解,溶液呈碱性,pH > 7,C错;如果在B点后滴加氢氧化钠溶液,那么N (Na+) > N (K+),加入的氢氧离子在B点前都参与了反应,所以N (Na+) >: n(K+)>;同一体系中n (oh)的体积相同,所以c (na+) >: c(K+)>;C (oh),d正确。
12.利用生物燃料电池的原理,研究了室温下的氨合成。细胞工作时,MV2+/MV+在电极和酶之间传递电子,如下示意图所示。以下说法是错误的()
A.WZ的水溶液是碱性的
B.非金属元素的顺序是x >:Y >;Z
碳钇最高价氧化物的水合物是一种中强酸
D.新化合物中的y不符合8电子稳定结构
【答案】C
【试验场地】元素周期表和元素周期定律
【分析】Z核外最外层电子数是X核外的一半。当Z中最外层电子数为7时,X为Si,Z为同期Cl;Z最外层电子数为6时,X为Mg,不符合图中分子结构;W能形成W+,与z和x在同一周期,W为Na,y原子通过两个单键和一个负电荷形成8电子结构,y最外层电子数为8-2-1=5,所以y为p,的水溶液为NaCl溶液,中性,a为错;非金属:x < y < z,b不对;P的最高价氧化物的水合物为H3PO4,为中强酸,C正确。y满足8个电子的稳定结构,d错了。
二.非选择题:共58分。第26至28题是必考题,每个考生都必须回答。第35~36题题目为“选择题”,考生按要求作答。
26.(14分)
硼酸(H3BO3)是一种重要的化工原料,广泛应用于玻璃、医药、化肥等工艺中。一种以硼镁矿(含Mg2B2O5 H2O、二氧化硅和少量Fe2O3和Al2O3)为原料生产硼酸和轻质氧化镁的工艺流程如下:
回答以下问题:
硫酸铁铵[nh4fe (SO4) 2 xh2o]是一种重要的铁盐。为了充分利用资源,变废为宝,实验室探索了用废铁制备硫酸铁铵的方法。具体流程如下:
回答以下问题:
水煤气变换[CO(g)+H2O(g)=CO2(g)+H2(g)]是一种重要的化工过程,主要用于合成氨、制氢和合成气加工等工业领域。回答以下问题:
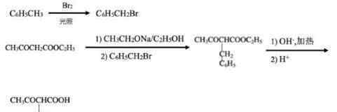
化合物g是药物合成的中间体,其合成路线如下:

回答以下问题:
(1)a中官能团的名称是。
(2)当四个不同的原子或基团连接到一个碳原子上时,该碳被称为手性碳。写出B的简单结构,用星号(*)标出B中的手性碳。
(3)写出具有六元环结构和银镜反应的B异构体的结构式。(不考虑立体异构,只写3)
(4)反应(4)所需的试剂和条件是。
(5)⑤的反应类型为。
(6)写出f到g的反应方程式。


[试验地点]官能团、有机反应类型、酯化反应、酯水解、异构体、有机合成路线
[分析]
(1)根据a的结构,官能团是羟基
(2)手性碳原子是指与四个不同的原子或基团相连的碳原子,用C*表示,所以这个分子中只有两个手性碳原子
(3)B分子中除六元环外,还有两个C,一个O,一个不饱和键。银镜反应表明分子中存在醛基,即分子包括一个六元环、一个-CH3和一个-CHO,有五种异构体。
(4) (3)发生氧化反应,酒精氧化生成酸。D中的官能团含有-COOH,F中的官能团含有酯基,说明④在浓硫酸/加热、C2H5OH为试剂的条件下发生酯化反应
(5)对比G和E,可以看出CH3CH2CH2Br通过取代反应连接在六元环上,所以反应⑤是取代反应
(6)FG为酯基,用碱水解后酸化。
(7)题目中从E到F的反应表明,羰基C=O的α位有酯基和α-H,卤代烃在C2H5ONa的作用下可以发生取代反应生长碳链。流程如下:

1.《化学试题 名师解析2019高考全国I卷化学试题,附题目及答案》援引自互联网,旨在传递更多网络信息知识,仅代表作者本人观点,与本网站无关,侵删请联系页脚下方联系方式。
2.《化学试题 名师解析2019高考全国I卷化学试题,附题目及答案》仅供读者参考,本网站未对该内容进行证实,对其原创性、真实性、完整性、及时性不作任何保证。
3.文章转载时请保留本站内容来源地址,https://www.lu-xu.com/guoji/1175329.html


